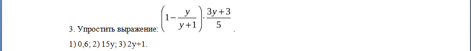
• Помогите пожалуйста, решить задание по алгебре! Огромное спасибо! (скрин задания прилагается)

    question img

Ответы 2

  • Я поняла, большое спасибо!
  •   ....................
    answer img
    • Автор:

      aurora
    • 6 лет назад
    • 0
  • Добавить свой ответ

Войти через Google

или

Забыли пароль?

У меня нет аккаунта, я хочу Зарегистрироваться

How much to ban the user?
1 hour 1 day 100 years