• Помогите,пожалуйста,решить задание!Заранее спасибо)))
    Упростите выражение: 

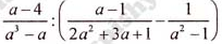
    question img

Ответы 1

  •  \frac{a-4}{a^3-a} :( \frac{a-1}{2a^2+3a+1}- \frac{1}{a^2-1}  )=
 \frac{a-4}{a(a^2-1)} :( \frac{a-1}{2a^2+2a+a+1}- \frac{1}{(a-1)(a+1)}  )=
\\\
= \frac{a-4}{a(a^2-1)} : \frac{(a-1)^2-2a-1}{(a^2-1)(2a+1)}=
 \frac{a-4}{a(a^2-1)} \cdot \frac{(a^2-1)(2a+1)}{a^2-4a}=
\frac{2a+1}{a^2}
  • Добавить свой ответ

Войти через Google

или

Забыли пароль?

У меня нет аккаунта, я хочу Зарегистрироваться

How much to ban the user?
1 hour 1 day 100 years