• прошу помогите мне с  системой уравнений 7 класс

    question img

Ответы 1

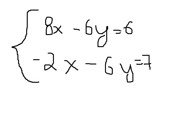
  • {8x - 6y = 6| *(-1){-2x - 6y = 7{-8x + 6y = -6{-2x - 6y = 7{-2x - 6y = 7{-10x = 1{-2x - 6y = 7{x = -0,1{x = -0,1{y = -3,2
    • Автор:

      faustino
    • 6 лет назад
    • 0
  • Добавить свой ответ

Войти через Google

или

Забыли пароль?

У меня нет аккаунта, я хочу Зарегистрироваться

How much to ban the user?
1 hour 1 day 100 years