• Простейшие показательные уравнения. 11 класс.
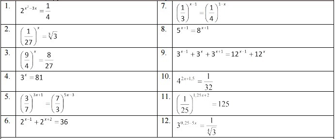
    Очень бы хотелось чтобы кто-то помог решить эти уравнения, или хотя бы показал примеры решения таких уравнений. Буду очень благодарна за помощь.

    question img

Ответы 3

  • будут вопросы ,пиши )) остальное можешь оформить в виде нового задания
  • Спасибо Вам большое! Очень понятно объяснили! Постараюсь остальное решить сама, а если возникнут трудности я с радостью обращусь к Вам за помощью.)
  • 2^(x²-3x)=1/42^(x²-3x)=2^(-2)x²-3x=-2x²-3x+2=0D=9-8=1x₁=(3+1)/2=2x₂=(3-1)/2=1-----------------------------------------------------------------------------------------------------(1/27)ˣ=∛33⁻³ˣ =3¹/³-3x=1/3x= -1/9---------------------------------------------------------------------------------------------------(9/4)ˣ= 8/27(3/2)²ˣ=(2/3)³(3/2)²ˣ =(3/2)⁻³2x=-3x=-1,5---------------------------------------------------------------------------------------------3ˣ=813ˣ=3⁴x=4--------------------------------------------------------------------------------------------(3/7)³ˣ⁺¹ =(7/3)⁵ˣ⁻³(3/7)³ˣ⁺¹ =(3/7)⁻⁽⁵ˣ⁻³⁾(3/7)³ˣ⁺¹ =(3/7)³⁻⁵ˣ3x-1 =3-5x3x+5x=3+18x=4x=1/2-------------------------------------------------------------------------2ˣ⁻¹ +2ˣ⁺² =36(2ˣ/2) +2²*2ˣ=36   2ˣ*(1/2  +4 )=362ˣ *4,5 =362ˣ=82ˣ=2³x=3
    • Автор:

      patchhowe
    • 6 лет назад
    • 0
  • Добавить свой ответ

Еще вопросы

Войти через Google

или

Забыли пароль?

У меня нет аккаунта, я хочу Зарегистрироваться

How much to ban the user?
1 hour 1 day 100 years