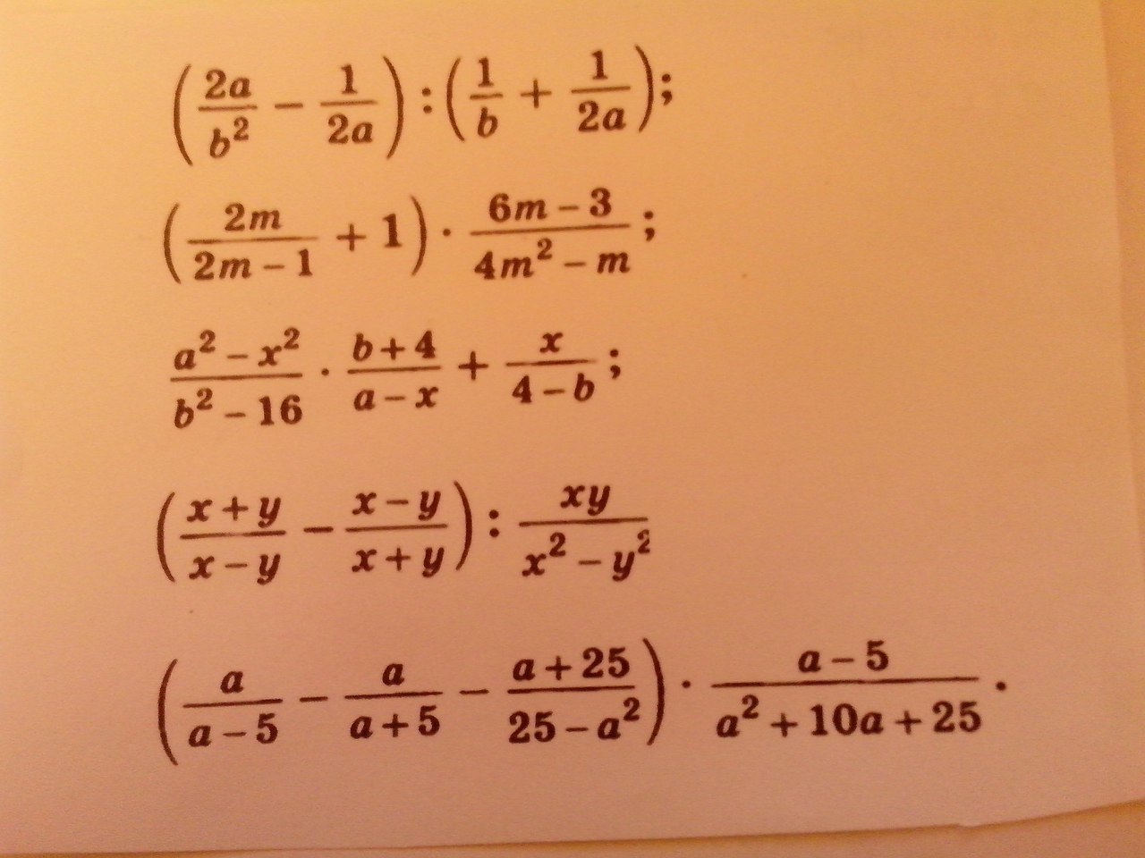
• Помогите пожалуйста по Алгебре 8 класс.... ( СДЕЛАЙТЕ ТОЛЬКО 1, 2,5 )
    ( Только пожалуйста решение тоже пишите, не только ответы)
    ( Можете сделать на листочке, сфоткать и прислать мне)
    1)
    2)
    5)

    question img

Ответы 4

  • А где на 1 и 5?
  • извини я не могу решить
    • Автор:

      bambisjfe
    • 6 лет назад
    • 0
  • скачай приложения photomath
  • и тебе будет пощаговое решение
  • Добавить свой ответ

Войти через Google

или

Забыли пароль?

У меня нет аккаунта, я хочу Зарегистрироваться

How much to ban the user?
1 hour 1 day 100 years