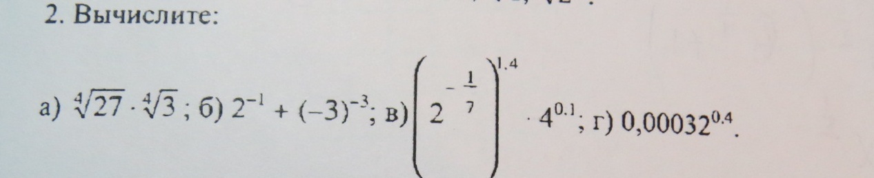
• Вот ответ а)3 б)25/54 в)1
    г)0.04 нужно решение

    question img

Ответы 6

  • спасибо
    • Автор:

      tamia
    • 6 лет назад
    • 0
  • там в неправильно
    • Автор:

      peyton44
    • 6 лет назад
    • 0
  • ща в комментах напишу
    • Автор:

      roberson
    • 6 лет назад
    • 0
  • там дальше смотри у тебя 4^0,1 это 2^0,2 или 2^1/5. и у тебя в итоге получается 2^-1/5*2^1/5 и в итоге получится 2^0 или 1
  • большое спасибо
  • а) 27=3^3,a если умножить, то получится 3^4(3^3*3). Степень с корнем сокращается и получается 3б)2^-1=1/2, a -3^-3=-1/27,тогда приводим к общему знаменателю:27/54-2/54=25/54в)1,4=7/5,тогда -1/7*7/5=-1/5,ну и там приблизительно равно 1г)0,00032 это 0,2^5, тогда получается:0,2^5*2/5 или 0,2^2=0,04
  • Добавить свой ответ

Войти через Google

или

Забыли пароль?

У меня нет аккаунта, я хочу Зарегистрироваться

How much to ban the user?
1 hour 1 day 100 years