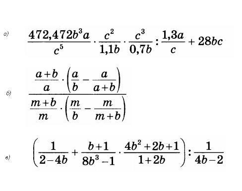
• Выполнить действие с алгебраическими дробями
    И письменное решение, большая просьба, решать по действиям, и с полным письменным решением пж! Выручите меняяя

    Подробнее в документе

    question img

Ответы 1

  • Огромное спасибо))))
  • Добавить свой ответ

Войти через Google

или

Забыли пароль?

У меня нет аккаунта, я хочу Зарегистрироваться

How much to ban the user?
1 hour 1 day 100 years