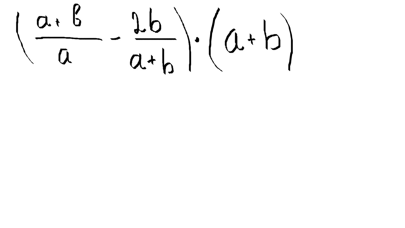
• Помогите ,пожалуйста,с алгеброй. Нужно упростить выражение

    question img

Ответы 1

  • 1)(a+b)(a+b)-2ab в знам a(a+b)= a^2+2ab+b^2 в знам a(a+b)= a^2+b^2 в знам a(a+b)2)(a^2+b^2)*(a+b)в знам a(a+b)=a^2+b^2 в знам а
    • Автор:

      acemiller
    • 6 лет назад
    • 0
  • Добавить свой ответ

Войти через Google

или

Забыли пароль?

У меня нет аккаунта, я хочу Зарегистрироваться

How much to ban the user?
1 hour 1 day 100 years