• помогитеее с алгеброй
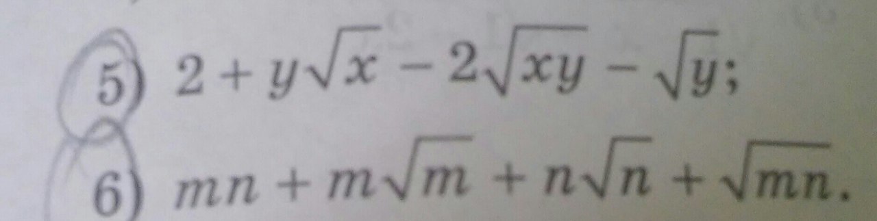
    РАЗЛОЖИТЕ ВЫРАЖЕНИЯ НА МНОЖИТЕЛИ ДАЮ 20 Б
    ВСЁ ДОЛЖНО БЫТЬ РАСПИСАНО

    question img

Ответы 2

  • Решение во вложении...
    answer img
    • Автор:

      shane5u5f
    • 6 лет назад
    • 0
  • Ответ смотри на фото.
    answer img
    • Автор:

      suzan3ekc
    • 6 лет назад
    • 0
  • Добавить свой ответ

Войти через Google

или

Забыли пароль?

У меня нет аккаунта, я хочу Зарегистрироваться

How much to ban the user?
1 hour 1 day 100 years