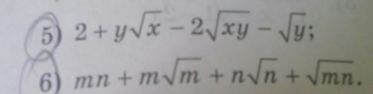
• ПОМОГИТЕЕ С АЛГЕБРОЙ РАЗЛОЖИТЕ ВЫРАЖЕНИЕ МНОЖИТЕЛЕЙ

    question img

Ответы 1

  • 1) 2 + y√x - 2√(xy) - √y = (2 - √y) + √(xy)(√y - 2) = (2 - √y) - √(xy)(2 - √y) == ( 2 - √y)(1 - √(xy)2)mn + m√m + n√n +√(mn) = (mn + m√m) + (n√n + √(mn) = m(n + √m) ++ √n(n + √m) = (n + √m)(m + √n)
  • Добавить свой ответ

Войти через Google

или

Забыли пароль?

У меня нет аккаунта, я хочу Зарегистрироваться

How much to ban the user?
1 hour 1 day 100 years