• Помогите пожалуйста решить неравенство ! Спасибо заранее .

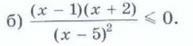
    question img

Ответы 2

  • Спасибо вам!
    • Автор:

      speedy3
    • 6 лет назад
    • 0
  • ОДЗ:х не равно 51)(х-1)(х+2)=0х^2+2х-х-2=0х^2+х-2=0д=1-4*(-2)=1+8=9, корень из 9=3х1=(-1+3)/2=1х2=(-1-3)/2=-22)(х-5)^2<0x^2-10x+25<0д=100-100=0х1,2=10/2=5Ответ: так как по ОДЗ х-не равно 5=> x1=1 x2=-2
  • Добавить свой ответ

Войти через Google

или

Забыли пароль?

У меня нет аккаунта, я хочу Зарегистрироваться

How much to ban the user?
1 hour 1 day 100 years