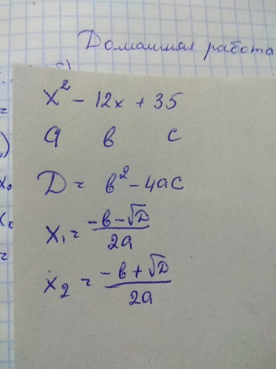
• Помогите пожалуйста ,нужно решить по дискриминанту и выбрать схему.Я просто не понимаю эту формулу(Второе фото это формула)

    question img
    question img

Ответы 2

  • решение надо
  • Рисунок четвёртый сделала так как меня учили
  • Добавить свой ответ

Войти через Google

или

Забыли пароль?

У меня нет аккаунта, я хочу Зарегистрироваться

How much to ban the user?
1 hour 1 day 100 years