• ДАЮ МНОГО БАЛЛОВ
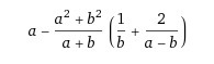
    Упростите выражение и найдите его значение, если a=5 и b=4

    ( (a - (a^2+b^2)/(a+b) ) * ( (1/b) + (2/(a-b) )

    ОБЫЧНЫМ ПОДСТАВЛЕНИЕМ НЕЛЬЗЯ.

    question img

Ответы 1

  • надеюсь, что правильно
    answer img
    • Автор:

      gizmo29
    • 6 лет назад
    • 0
  • Добавить свой ответ

Войти через Google

или

Забыли пароль?

У меня нет аккаунта, я хочу Зарегистрироваться

How much to ban the user?
1 hour 1 day 100 years