• найдите натуральное число х для которого выполняется равенство.Делается через размещение. вот формула 

    question img

Ответы 1

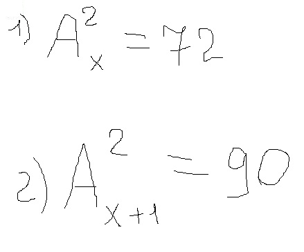
  • A_x^2=72
\\\
x(x-1)=72
\\\
x^2-x-72=0
\\\
D=1+288=289
\\\
x_1 <0
\\\
x_2= \frac{1+17}{2}=9 Ответ: 9A_{x+1}^2=90 \\\ (x+1)x=902 \\\ x^2+x-90=0 \\\ D=1+360=361 \\\ x_1 <0 \\\ x_2= \frac{-1+19}{2}=9 Ответ: 9
  • Добавить свой ответ

Войти через Google

или

Забыли пароль?

У меня нет аккаунта, я хочу Зарегистрироваться

How much to ban the user?
1 hour 1 day 100 years