• 11 классОЧЕНЬ СРОЧНО!!!! АЛГЕБРА "ПРОИЗВОДНЫЕ"
    Очень нужна помощь <3(много баллов)
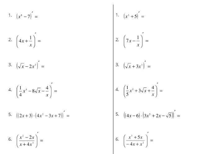
    (напишите, пожалуйста, на листе. Очень буду благодарна)

    question img

Ответы 3

  • Здравствуй! Ты не могла бы на листке расписать это? хотя бы 1-ый вариант?
    • Автор:

      max664
    • 5 лет назад
    • 0
  • пожалуйста
    • Автор:

      jewelosi8
    • 5 лет назад
    • 0
  • мне нужно решение просто
    • Автор:

      meaghan
    • 5 лет назад
    • 0
  • Добавить свой ответ

Войти через Google

или

Забыли пароль?

У меня нет аккаунта, я хочу Зарегистрироваться

How much to ban the user?
1 hour 1 day 100 years