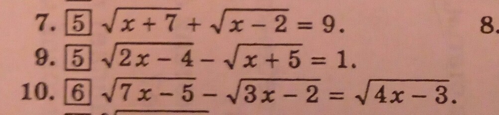
• Решить уравнение.Пожалуйста с пояснением,желательно фото.

    question img

Ответы 5

  • Я добавил ещё 2 фото с максимальным пояснением именно второго и третьего
    • Автор:

      prancer
    • 6 лет назад
    • 0
  • извините у меня неотобразилось
  • можно попросить решить еще 2 задания
  • у меня в профиле есть еще 2 вопроса
  • помогите пожалуйста
    • Автор:

      maravc7c
    • 6 лет назад
    • 0
  • Добавить свой ответ

Еще вопросы

Войти через Google

или

Забыли пароль?

У меня нет аккаунта, я хочу Зарегистрироваться

How much to ban the user?
1 hour 1 day 100 years