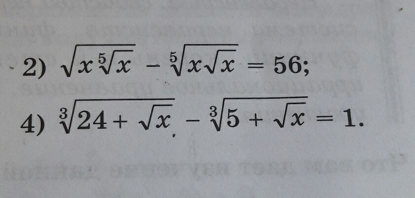
• Решите уравнения.
    Ответы:2) 1024;4) 9.
    Необходимо решение

    question img

Ответы 1

  • а первом уравнении можно и без замены обойтись))а во втором поможет удобная замена...
    answer img
    • Автор:

      roverb0ie
    • 6 лет назад
    • 0
  • Добавить свой ответ

Войти через Google

или

Забыли пароль?

У меня нет аккаунта, я хочу Зарегистрироваться

How much to ban the user?
1 hour 1 day 100 years