• Заранее спасибо, мне надо сверить, правильно я сделала или нет.

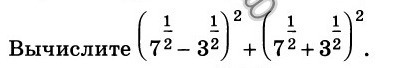
    question img

Ответы 4

  • с чего решила, ответ то я не прислала?
    • Автор:

      narciso
    • 6 лет назад
    • 0
  • ой я не тебе писала прости
  • там была задачка
    • Автор:

      moyer
    • 6 лет назад
    • 0
  • Да правильно у тебя всё
    • Автор:

      tata24
    • 6 лет назад
    • 0
  • Добавить свой ответ

Войти через Google

или

Забыли пароль?

У меня нет аккаунта, я хочу Зарегистрироваться

How much to ban the user?
1 hour 1 day 100 years