• пожалуйста, решение показательного уравнения. заранее спасибо

    question img

Ответы 2

  • будут вопросы, пишите.
    • Автор:

      max89
    • 6 лет назад
    • 0
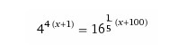
  • 4^(4x+4)=4^(2/5x+40); 4x+4=2/5x+40; 4x-2/5x=40-4; 3 3/5x=36; x=36 / 3 3/5=10. Ответ: x=10.
    • Автор:

      louisydvr
    • 6 лет назад
    • 0
  • Добавить свой ответ

Еще вопросы

Войти через Google

или

Забыли пароль?

У меня нет аккаунта, я хочу Зарегистрироваться

How much to ban the user?
1 hour 1 day 100 years