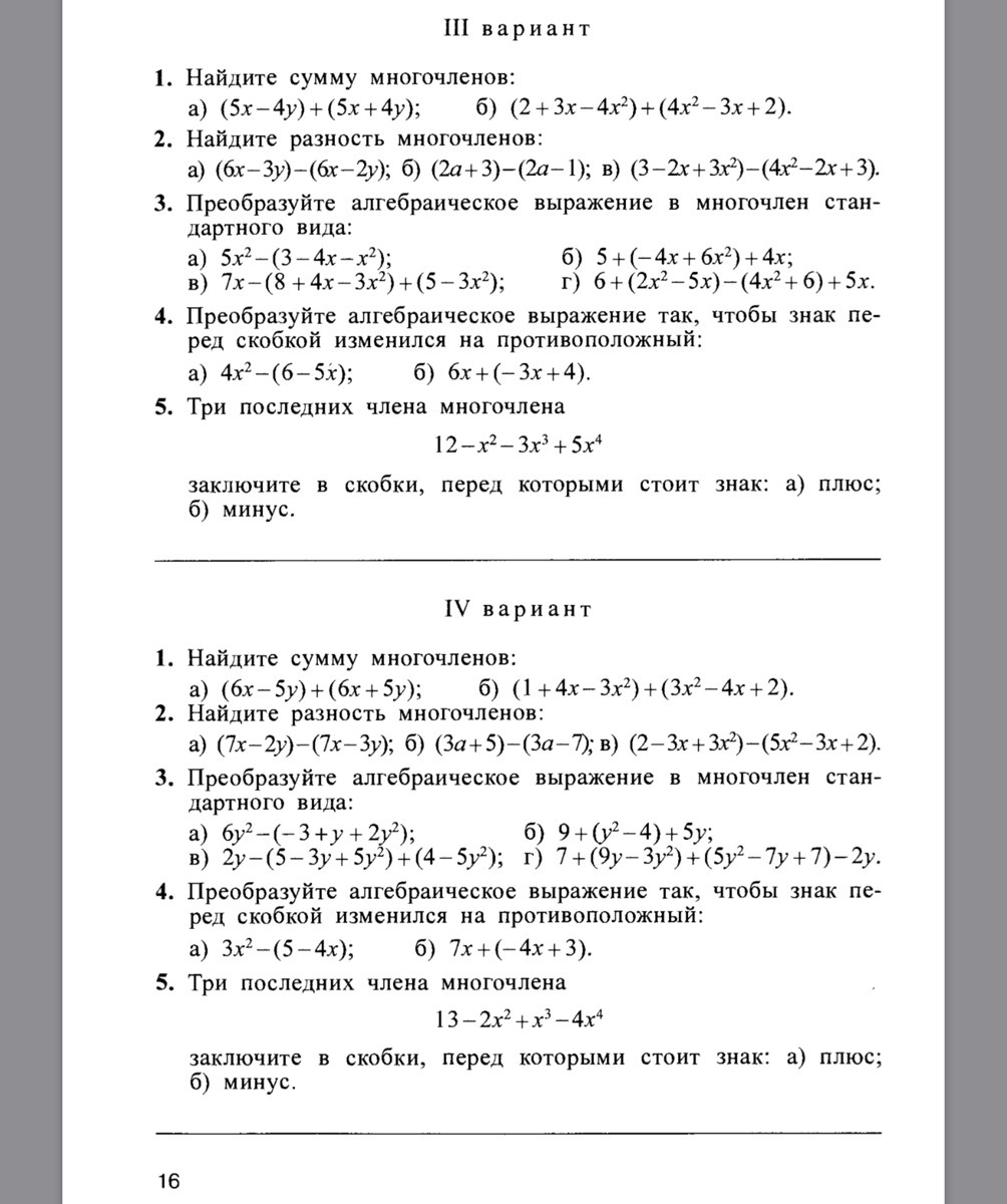
• Ребята,алгебра 7 класса.Помогите пожалуйста. Вариант 1,2,3
    Там все легко достаточно нормально. Я физически не успеваю.Даю 35 баллов.

    question img

Ответы 2

  • Вариант 3
    • Автор:

      emma68
    • 6 лет назад
    • 0
  • Цей ввріант?чи інший варіант
    answer img
    • Автор:

      noéwolfe
    • 6 лет назад
    • 0
  • Добавить свой ответ

Войти через Google

или

Забыли пароль?

У меня нет аккаунта, я хочу Зарегистрироваться

How much to ban the user?
1 hour 1 day 100 years