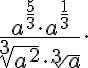
• Упростите выражение:
    варианты ответа:
    1)а в -1 степени
    2)а
    3)а во 2 степени
    4)а в 0,5 степени

    question img

Ответы 2

  • 3) а во 2 степениииии
    • Автор:

      aceleach
    • 6 лет назад
    • 0
  • числитель: a^5/3*a^1/3=a^6/3=a^2; знаменатель: a^2/3*a^1/3=a^3/3=a; получаем: a^2:a^1=a. Ответ: цифра 2.
  • Добавить свой ответ

Еще вопросы

Войти через Google

или

Забыли пароль?

У меня нет аккаунта, я хочу Зарегистрироваться

How much to ban the user?
1 hour 1 day 100 years