• Решите пожалуйста что сможете и нарисуйте к нимрисунок (график или интервал )

    question img

Ответы 1

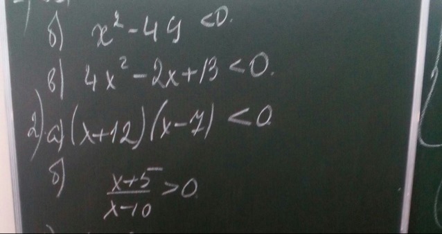
  • б) Нули функции -7 и 7.   Знаки +-+.Ответ (-7;+7).в) Нули функции  отсутствуют, Знак + всюду. Ответ: решений нет.а) Нули функции -12 и 7, знаки +-+. Ответ: (-12;7).б) х≠10. Нули х=-5. Знаки +-+. Ответ :(-∞;-5)∪(10;+∞).
    • Автор:

      jada
    • 6 лет назад
    • 0
  • Добавить свой ответ

Войти через Google

или

Забыли пароль?

У меня нет аккаунта, я хочу Зарегистрироваться

How much to ban the user?
1 hour 1 day 100 years