• Решите пожалуйста ! немного редактировала надеюсь видно !) решите все пожалуйста ! даю 20 балов !!

    question img
    question img

Ответы 6

  • а можно уж ответ написать
    • Автор:

      giadayr4m
    • 6 лет назад
    • 0
  • ???
  • так проще, смотри)
    • Автор:

      maliyah
    • 6 лет назад
    • 0
  • ну я не понимаю
    • Автор:

      cole183
    • 6 лет назад
    • 0
  • поняла только что если степень в скопках её умножить надо
    • Автор:

      gwendolyn
    • 6 лет назад
    • 0
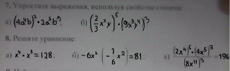
  • ну смотри, в первой скобке каждое число или букву возводишь в нужную степень то есть 4 во вторую степень,потом а^4 во вторую степень ,при умножении степень на степень цифры перемножаются , то есть будет а в степtни 4*2 =а^8 b и остаётся b ,b тоже в квадрат,получаем 16a^8b^2 дальше мы это умножаем на 2 a^5b^9,действуем так : 16*2=32 a^8 на a^5= a и тут степени уже не перемножаются как в случае со скобками , а складываются то есть 8+5=13 ,получаем a^13 ,теперь b ,b^2*b^9=b^11
    answer img
    • Автор:

      ollielsq1
    • 6 лет назад
    • 0
  • Добавить свой ответ

Войти через Google

или

Забыли пароль?

У меня нет аккаунта, я хочу Зарегистрироваться

How much to ban the user?
1 hour 1 day 100 years