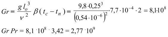
• Как степени 10^8 и 10^9 появилась,а то со степенями у меня не очень.помогите пожалуйста

    question img

Ответы 1

  • 10в 9 это там перемножают и что бы большое число не писать добавляют одну 10
    • Автор:

      rebecca
    • 6 лет назад
    • 0
  • Добавить свой ответ

Войти через Google

или

Забыли пароль?

У меня нет аккаунта, я хочу Зарегистрироваться

How much to ban the user?
1 hour 1 day 100 years