• Помогите решить !Срочно!Даю 25 баллов
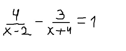
    4/x-2-3/x+4=1 

    question img

Ответы 2

  • Спасибо!
  • решение на фото.............
    answer img
  • Добавить свой ответ

Войти через Google

или

Забыли пароль?

У меня нет аккаунта, я хочу Зарегистрироваться

How much to ban the user?
1 hour 1 day 100 years