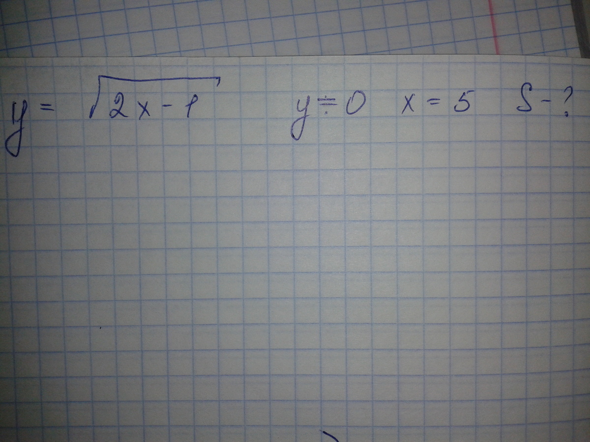
• Найти площадь криволинейной трапеции с помощью определенного интеграла,ограниченную линиями: 

    question img

Ответы 1

  • y=\sqrt{2x-1} - это верхняя ветвь параболы с вершиной в точке(1/2, 0), ветви направлены вправо (ось симметрии параболы - ось ОХ)Поэтому пределы изменения х- от 1/2 до 5.S=\int_{1/2}^5\sqrt{2x-1}dx=\frac{1}{2}\cdot \frac{2}{3}\cdot(2x-1)^{\frac{3}{2}}|_{1/2}^5=\\=\frac{1}{3}((3-1)^{\frac{3}{2}}-(10-1)^{\frac{3}{2}}=\frac{1}{3}(2^{\frac{3}{2}}-3^3)=\frac{1}{3}(2\sqrt2-9)=\frac{2}{3}\sqrt2-3
    • Автор:

      zoey15
    • 6 лет назад
    • 0
  • Добавить свой ответ

Войти через Google

или

Забыли пароль?

У меня нет аккаунта, я хочу Зарегистрироваться

How much to ban the user?
1 hour 1 day 100 years