• Алгебра 9 класс срочно надо даю 25 баллов

    question img

Ответы 1

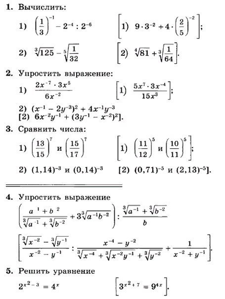
  • 1. 1) 3-2^2=3-4=-12) 5-1/2=9/2=4,5[1) 9*1/3^2+4*(5/2)^29*1/9+4*25/41+25=26][2) 3+1/4=13/4=3,25]
  • Добавить свой ответ

Войти через Google

или

Забыли пароль?

У меня нет аккаунта, я хочу Зарегистрироваться

How much to ban the user?
1 hour 1 day 100 years