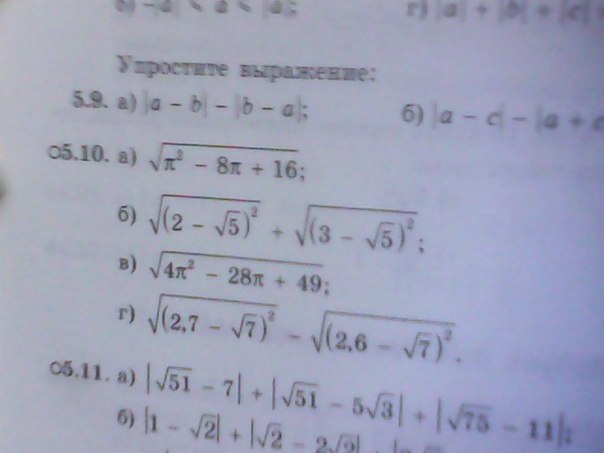
• Помогите пожалуйста, номер 5.10
    упростить выражения буквы а, б, в, г

    question img

Ответы 1

  • a) √п^2 - 8п + 16 = √(п - 4) ^2 = |п-4|б)√(2-√5)^2  + (3 - √5)^2 = 2 - √5 + 3 - √5 = 5 - 2√5в)√4п^2 - 28п + 49  =  √(2п - 7)^2 = |2п - 7|г)√(2,7 - √7)^2 - √(√7 - 2,6)^2 = 2,7 - √7 - √7 + 2,6 = 5,3
  • Добавить свой ответ

Еще вопросы

Войти через Google

или

Забыли пароль?

У меня нет аккаунта, я хочу Зарегистрироваться

How much to ban the user?
1 hour 1 day 100 years