• Объясните пожалуйста решения этой системы,не могу разобраться как решают

    question img
    question img

Ответы 2

  • Спасибо большое
    • Автор:

      talans8im
    • 6 лет назад
    • 0
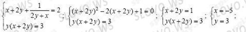
  • В предложенном решении первое уравнениеx+2y+ \dfrac{1}{2y+x}=2 домножают наx+2yпосле чего получается(x+2y)^2+1=2(x+2y) \\ (x+2y)^2-2(x+2y)+1=0далее сворачивается в полный квадрат(x+2y-1)^2=0 \\ x+2y-1=0 \\ x+2y=1подставляем во второеy\cdot 1=3 \\ y=3иx+2 \cdot 3=1 \\ x=1-6=-5Добавлю еще свой вариант решения\left\{\begin{array}{I} x+2y+ \dfrac{1}{2y+x}=2   \\ y(x+2y)=3 \end{array}} \Leftrightarrow \left\{\begin{array}{I}  \dfrac{3}{y}+ \dfrac{y}{3}=2    \\ x+2y= \dfrac{3}{y}  \end{array}} \Leftrightarrow \left\{\begin{array}{I} y^2-6y+9=0  \\  x+2y= \dfrac{3}{y} \end{array}}\Leftrightarrow  \left\{\begin{array}{I} (y-3)^2=0 \\ x= \dfrac{3}{y}-2y \end{array} \Leftrightarrow \left\{\begin{array}{I} y=3 \\x= \dfrac{3}{3}-2 \cdot 3  \end{array} \Leftrightarrow \left\{\begin{array}{I} y=3 \\x=-5 \end{array}
    • Автор:

      slinky
    • 6 лет назад
    • 0
  • Добавить свой ответ

Еще вопросы

Войти через Google

или

Забыли пароль?

У меня нет аккаунта, я хочу Зарегистрироваться

How much to ban the user?
1 hour 1 day 100 years