• упростите, пожалуйста
    ОЧЕНЬ СРОЧНО
    АЛГЕБРА 10 КЛАСС

    question img

Ответы 1

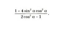
  •  \frac{1-4Sin ^{2} \alpha Cos ^{2} \alpha   }{2Cos ^{2}  \alpha -1}= \frac{Sin ^{2} \alpha +Cos ^{2} \alpha -4Sin ^{2}  \alpha Cos ^{2} \alpha }{Cos2 \alpha }=    \frac{(Sin ^{2} \alpha-2Sin ^{2} \alpha Cos ^{2} \alpha )+(Cos ^{2}  \alpha-2Sin ^{2} \alpha Cos ^{2} \alpha ) }{Cos2 \alpha }=  \frac{Sin ^{2} \alpha (1-2Cos ^{2} \alpha )+Cos ^{2} \alpha (1-2Sin ^{2}  \alpha )   }{Cos2 \alpha } = \frac{Sin ^{2} \alpha *(-Cos2 \alpha)+Cos ^{2}  \alpha *Cos2 \alpha   }{Cos2 \alpha } = \frac{Cos2 \alpha(Cos ^{2}  \alpha -Sin ^{2}  \alpha ) }{Cos2 \alpha } = Cos ^{2} \alpha -Sin ^{2}  \alpha =Cos2 \alpha
  • Добавить свой ответ

Еще вопросы

Войти через Google

или

Забыли пароль?

У меня нет аккаунта, я хочу Зарегистрироваться

How much to ban the user?
1 hour 1 day 100 years