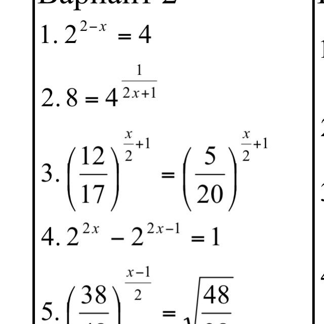
• 1) 2^2-x=4
    2) 8=4^1/2x+1
    3) (12/17)^x/2 +1 =(5/20)^x/2 +1
    4) 2^2-x-2^2x-1=1

    question img

Ответы 3

  • А что за Tex times и тд
    • Автор:

      wolf68
    • 6 лет назад
    • 0
  • у меня нет такого. просто решение
  • 2 {}^{2 - x}  = 2 {}^{2}  \\ 2 - x = 2 \\  - x = 2 - 2 \\  - x = 0 \\ x = 02 {}^{3}  =  2 {}^{ \frac{2}{2x + 1} } \\ 3 =  \frac{2}{2x + 1}   \\ 3(2x + 1) = 2 \\ 6x + 3 = 2 \\ 6x =  - 1 \\ x =  -  \frac{1}{6} (2 - 1) \times 2 {}^{2x - 1}   = 1 \\ 1 \times 2 {}^{2x - 1}  = 1 \\ 2 {}^{2x - 1}  = 1 \\ 2 {}^{2x - 1}  = 2 {}^{0}  \\ 2x - 1 = 0 \\ 2x = 1 \\ x =  \frac{1}{2} ( \frac{12}{17} ) {}^{ \frac{x}{2} + 1 }  = ( \frac{1}{4}) {}^{ \frac{x}{2} + 1 }  \\ ( \frac{ \frac{12}{17} }{ \frac{1}{4} } ) {}^{  \frac{x}{2} + 1}  = 1 \\ ( \frac{48}{17}) {}^{ \frac{x}{2} + 1 }  = ( \frac{48}{17} ) {}^{0}  \\  \frac{x}{2}  + 1 = 0 \\ x + 2 = 0 \\ x =  - 2
    • Автор:

      michaela
    • 6 лет назад
    • 0
  • Добавить свой ответ

Войти через Google

или

Забыли пароль?

У меня нет аккаунта, я хочу Зарегистрироваться

How much to ban the user?
1 hour 1 day 100 years