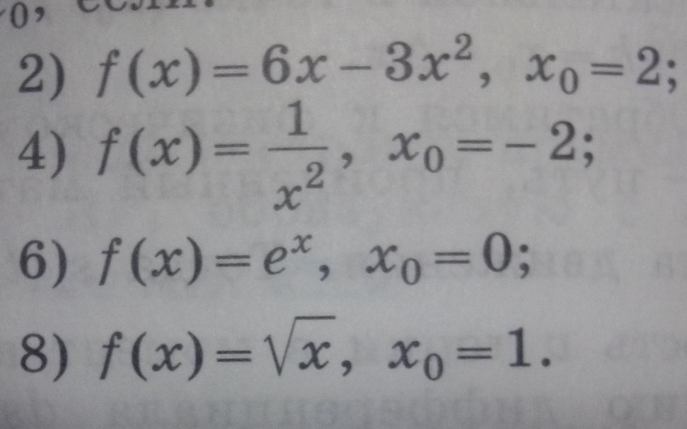
• Написать уравнение касательной к графику функции y=f(x) в точке с аб мисс ой x0,если

    question img

Ответы 1

  • Уравнение касательной y= f(x0) + f '(x0)(x-x0)2) f(x) = 6x -3x²    f(x0) = 6*2 -3*2*2 = 12-12 = 0    f '(x) = 6- 6x    f '(x0) = 6- 12 =-6Следовательно уравнение касательной y=-6(x-2)   y= 12 - 6x4)f(x) = 1/x²   f(x0) = 1/4f '(x) = - 1/x³f '(x0) = 1/8y = 1/4 + 1/8(x+2)           y= 1/2 + x/86) f(x) = e^xf(x0) = 1f '(x)= e^xf '(x0) = 1y = 1+ 1(x-0)            y =x+18) f(x) = √xf(x0) =1f '(x) = 1/2√x f '(x0) = 1/2y = 1 + 1/2(x-1)                    y = 1/2x +1/2
    • Автор:

      emma68
    • 6 лет назад
    • 0
  • Добавить свой ответ

Еще вопросы

Войти через Google

или

Забыли пароль?

У меня нет аккаунта, я хочу Зарегистрироваться

How much to ban the user?
1 hour 1 day 100 years