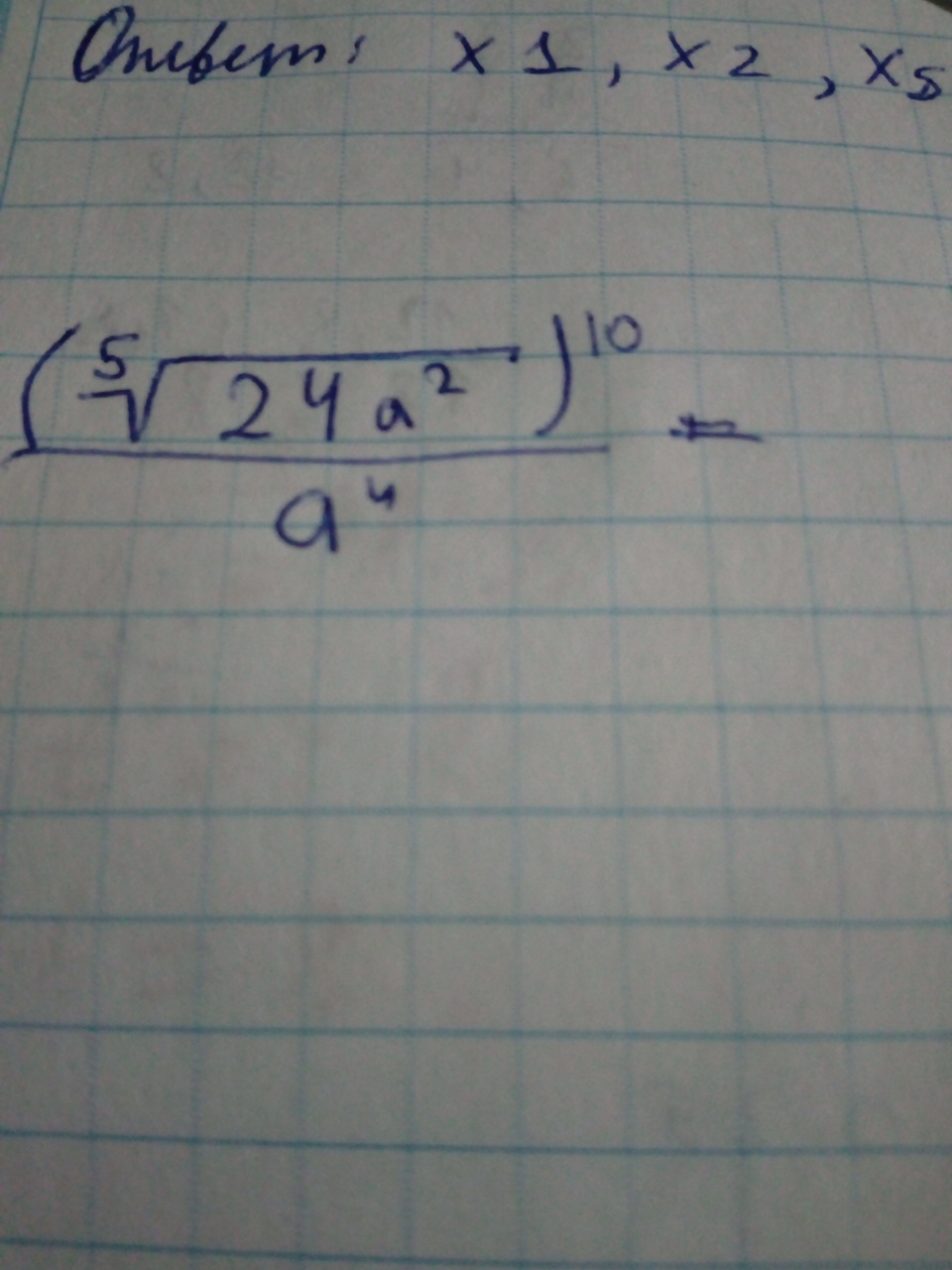
• Найдите значение выражения при a не равно 0

    question img

Ответы 1

  •  \frac{( \sqrt[5]{24a ^{2} }) ^{10}  }{a ^{4} } = \frac{[( \sqrt[5]{24a ^{2} }) ^{5} ] ^{2}  }{a ^{4} } = \frac{(24 a^{2}) ^{2}  }{a ^{4} }= \frac{576a ^{4} }{a ^{4} }=576
  • Добавить свой ответ

Войти через Google

или

Забыли пароль?

У меня нет аккаунта, я хочу Зарегистрироваться

How much to ban the user?
1 hour 1 day 100 years