• Решите пожалуйста два неравенства с решением пожалуйста

    question img

Ответы 6

  • я могу только за ПК
  • Жаль
    • Автор:

      jaxon608
    • 6 лет назад
    • 0
  • Поможешь с к\р?
  • Дам 50 балов как здесь
    • Автор:

      beau88
    • 6 лет назад
    • 0
  • кидай ссылку в личку
    • Автор:

      kane67
    • 6 лет назад
    • 0
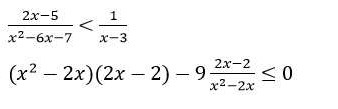
  • x²-6x-7≠0Д=36+28=64=8²х1≠(6+8)/2=7Х2≠(6-8)/2=-1x²-6x-7=(х-7)(х+1)их-3≠0х≠3(2x-5) / (x-7)(х+1) - 1/(х-3)<0( (2x-5)(x-3)-(x²-6x-7) ) /(х-7)(х+1)(x-3) <0(2x²-5x-6x+15-x²+6x+7 ) / (х-7)(х+1)(x-3) <0(x²-5x+22)/(х-7)(х+1)(x-3) <0x²-5x+22=0Д=25-88<0 действительных корней нетx²-5x+22 /(х-7)(х+1)(x-3) <0      +           7      -1     3        -1               3         7            --------|--------------|--------|------------------------- ++++++++ -------  +++++++++Ответ: х∈ (-∞ ; -1) ∪ (3; 7)2) (x²-2x)(2x-2)-9 (2x-2)/ (x²-2x) ≤0x²-2x≠0x(x-2)≠0x1≠0x2≠2x(x-2)2(x-1)-9 * 2(x-1) /x(x-2) ≤02x(x-2)(x-1) -9*2(x-1)/x(x-2) ≤02(x-1) (  (x(x-2)-9/x(x-2) )≤02(x-1) (  ((x²-2x)²-9 )/(x(x-2) )≤02(x-1) (x²-2x-3)*(x²-2x+3 )/(x(x-2) ≤0x²-2x-3=0Д=4+12=16=4²х1=(2+4)/2=3х2=(2-4)/2=-1x²-2x+3=0Д=4-12 < 0 функция всегда больше нуля при любом х 2(x-1) (x-3)(х+1)(x²-2x+3 )/(x(x-2) ≤0     1      3       -1       +           0  2          -1       0       1       2      3---------|-------|-------|-------|------|----------------- ++++ +++  ++++ -----  ++++x∈(-∞; -1] ∪ (2; 3]
  • Добавить свой ответ

Войти через Google

или

Забыли пароль?

У меня нет аккаунта, я хочу Зарегистрироваться

How much to ban the user?
1 hour 1 day 100 years