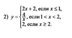
• 100 баллов + лучший ответ! Построить график функции:

    question img

Ответы 3

  • Спасибо за решение! У меня вопрос насчёт третьего условия графика, т.е. 'у=2, если х>=2'. По-моему, он не должен проходить по отрицательным иксам вообще и начинаться от точки 2 на оси ох. И эти три графика должны как бы соединяться в один. Или я ошибаюсь? Буду благодарна за объяснение)
  • вообще я не вижу разници делать в кусочные, так как думаю ужны точки пересечения,а вот кусочная или нет это должно быть в условии, намой взгляд,думаю что у меня и у неё правильно
  • Спасибо)
  • Добавить свой ответ

Еще вопросы

Войти через Google

или

Забыли пароль?

У меня нет аккаунта, я хочу Зарегистрироваться

How much to ban the user?
1 hour 1 day 100 years