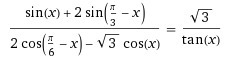
• Докажите тождество
    (sin(x)+2sin(π/3-x))/((2cos(π/6-x)-sqrt(3)cos(x)))=sqrt(3)/tg(x)
    Помогите, пожалуйста

    question img

Ответы 2

  • Огромное спасибо!!!
    • Автор:

      alex7
    • 6 лет назад
    • 0
  • yw:)
  • Добавить свой ответ

Войти через Google

или

Забыли пароль?

У меня нет аккаунта, я хочу Зарегистрироваться

How much to ban the user?
1 hour 1 day 100 years