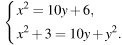
• Привет! Решал тут 21 задание 9 класс попалось такое задание, решив я не понял почему ответ равет (6;3) (-6;3)

    question img

Ответы 1

  • x²=10y+6x²+3=10y+y²10y+6+3=10y+y²y²=9y₁=3     x²=10*3+6          x²=36    x₁=6     x₂=-6y₂=-3    x²=10*(-3)+6      x²=-24  ∉.Ответ: x₁=6    y₁=3      x₂=-6     y=3.
  • Добавить свой ответ

Войти через Google

или

Забыли пароль?

У меня нет аккаунта, я хочу Зарегистрироваться

How much to ban the user?
1 hour 1 day 100 years