• Помогите пожалуйста решить иррациональные уравнения заменой

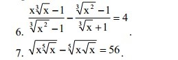
    question img

Ответы 1

  • x^(2/3)+1-(x^(1/3)+1=4(x^1/3)^2-x^1/3-2=0x^1/3=2x=8x^1/3=-1x=-17) x^(3/5)-x^(3/10)-56=0x^3/10=tt^2-t-56=0t=8x^3/10=2^3x=2^10=1024
  • Добавить свой ответ

Еще вопросы

Войти через Google

или

Забыли пароль?

У меня нет аккаунта, я хочу Зарегистрироваться

How much to ban the user?
1 hour 1 day 100 years