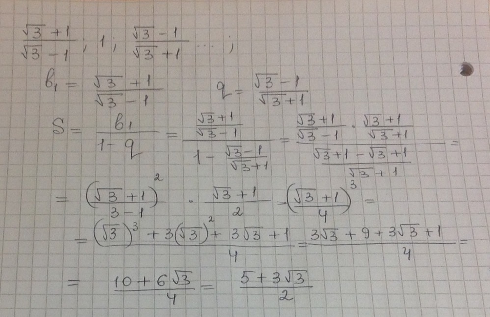
• Найдите сумму членов бесконечно убывающей геометрической прогрессии a)√3+1/√3-1;1;√3-1/√3+1 /-дробь

Ответы 1

  • решение смотри на фото
    answer img
  • Добавить свой ответ

Войти через Google

или

Забыли пароль?

У меня нет аккаунта, я хочу Зарегистрироваться

How much to ban the user?
1 hour 1 day 100 years