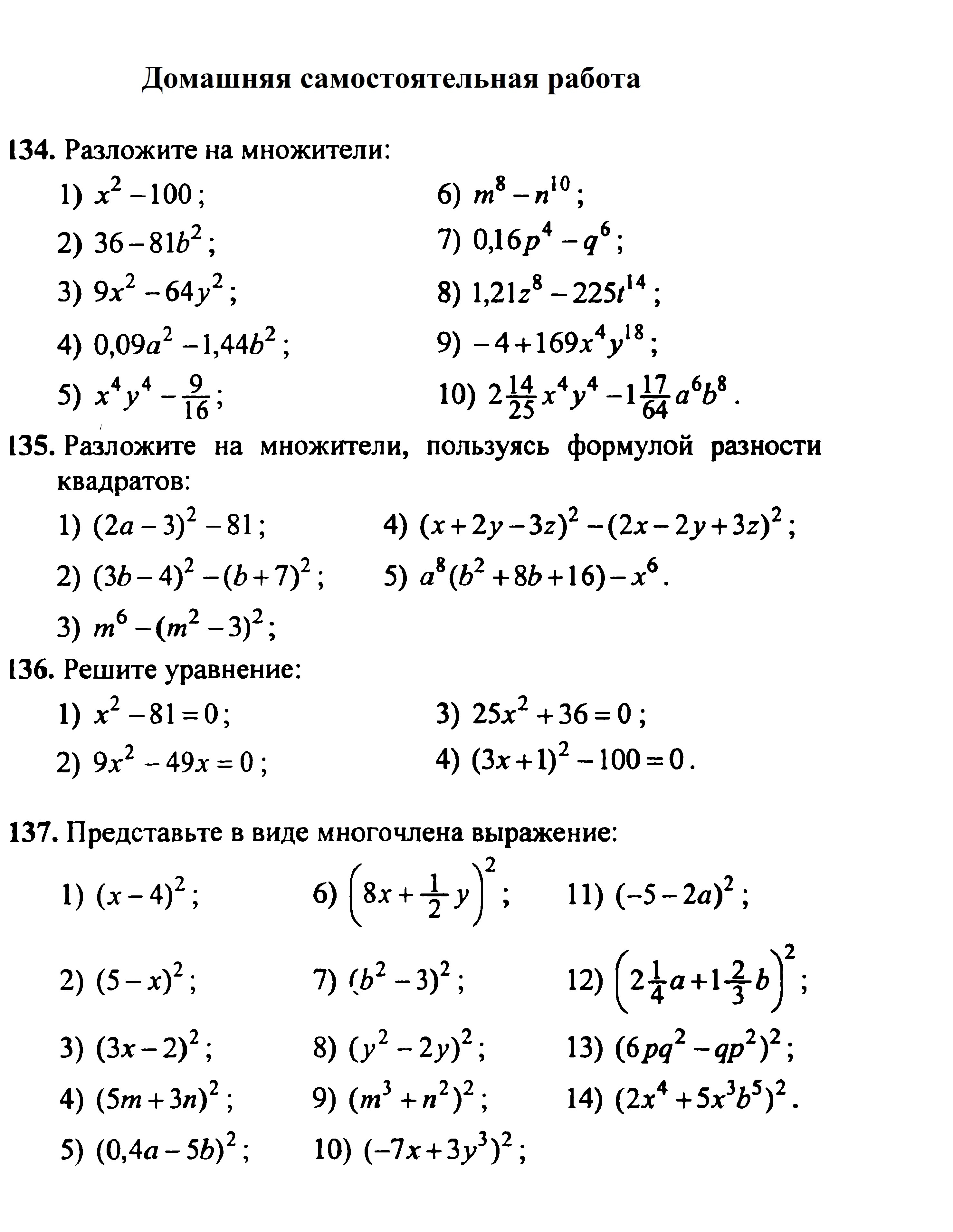
• 33 балла хеееееееееееееееееееееееееееееееееееееееееееееееееееееееееееееееееееееееееееееееееееелп с дср

    question img

Ответы 2

  • спасибо
    • Автор:

      mariam
    • 6 лет назад
    • 0
  • 1. (x-10)(x+10)2.(6-9b)(6+9b)3.(3x-8y)(3x+8y)Далее по анологии 135) 1. (2а-3-9)(2а+3+9)= (2а-12)(2а+12)...136)1. (х-9)(х+9)=0х=9х=-9...137)1. х^2-2*4х+16...Все практически одинаковые, попробуй решить также)
    • Автор:

      rockybxxa
    • 6 лет назад
    • 0
  • Добавить свой ответ

Войти через Google

или

Забыли пароль?

У меня нет аккаунта, я хочу Зарегистрироваться

How much to ban the user?
1 hour 1 day 100 years