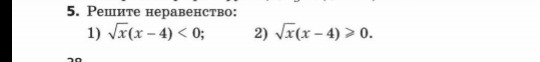
• Срочно!!!Решите неравенства:
    Во вложении есть вся информация

    question img

Ответы 4

  • Можешь тоже самое с другими числами, я не то скинул?
  • x(x-4)<0
    • Автор:

      sotohwzx
    • 6 лет назад
    • 0
  • ой
    • Автор:

      ripleyali
    • 6 лет назад
    • 0
  • Ответ ответ ответ ответ ответ
    answer img
  • Добавить свой ответ

Войти через Google

или

Забыли пароль?

У меня нет аккаунта, я хочу Зарегистрироваться

How much to ban the user?
1 hour 1 day 100 years