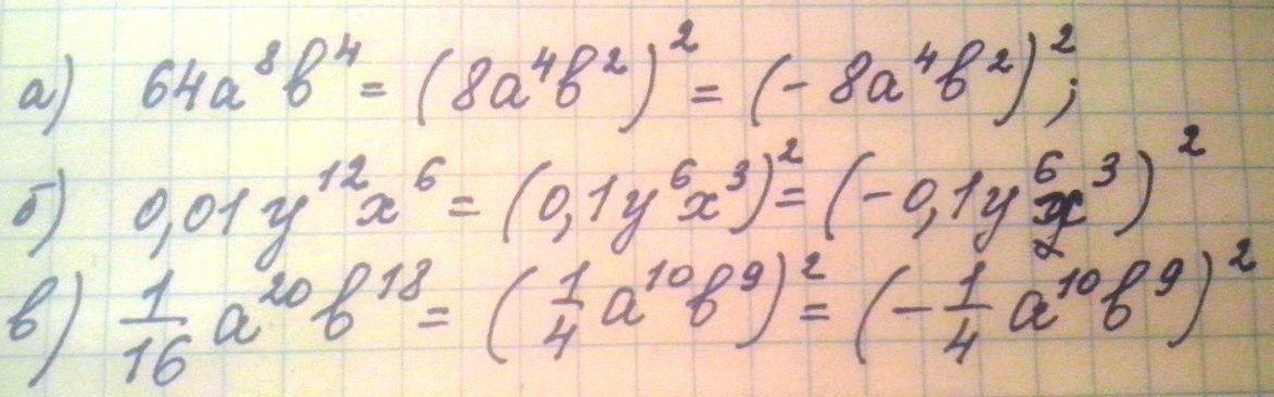
• Представьте выражение в виде квадрата одночлена;
    а)64а^8 b^4
    б)0.01y^12 x^6
    в)1/16a^20 b^18
    ^-степень

Ответы 1

  • Решение во вложенном изображении
    answer img
  • Добавить свой ответ

Войти через Google

или

Забыли пароль?

У меня нет аккаунта, я хочу Зарегистрироваться

How much to ban the user?
1 hour 1 day 100 years