• Помогите решить, желательно через 30-40 минут, пожалуйста.

    question img

Ответы 2

  • спасибо огромное)
    • Автор:

      allangqlt
    • 6 лет назад
    • 0
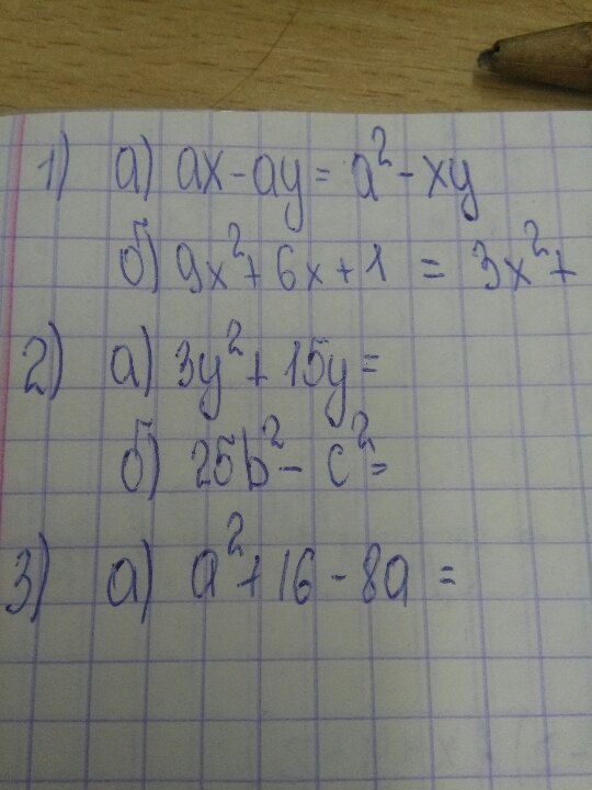
  • 1а) ах - ау = а(х -у)б) 9х² + 6х + 1 = (3х + 1)² = (3х +1)(3х + 1)2а) 3у² + 15у = 3у( у + 5)б) 25в² - с² = (5в + с)(5в - с)3а) а² + 16 - 8а = (а - 4)² = (а - 4) (а - 4)
  • Добавить свой ответ

Войти через Google

или

Забыли пароль?

У меня нет аккаунта, я хочу Зарегистрироваться

How much to ban the user?
1 hour 1 day 100 years