• Номер 1
    Класс 9
    Метод подстановки
    Чертёж не нужен

    question img

Ответы 1

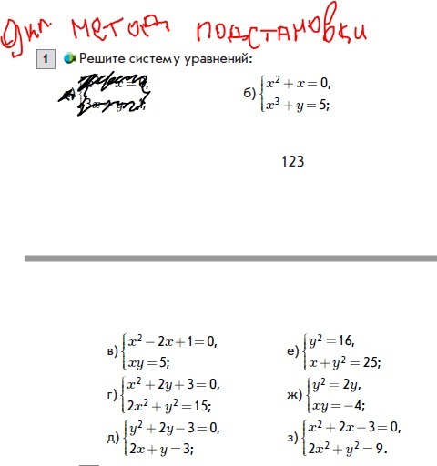
  • б)х²+х=0х³+у=5х(х+1)=0у=5-х³х₁=0       у₁=5-0=5х+1=0у=5-х³х₂=-1у₂=5-(-1)³=6Ответ (0;5), (-1; 6)в)х²-2х+1=0ху=5(х-1)²=0у=5/хх-1=0у=5/хх=1у=5Ответ(1; 5)г)х²=-2у-32х²+у²=15х²=-2у-32(-2у-3)+у²=15х²=-2у-3у²-4у-6-15=0х²=-2у-3у²-4у-21=0D=4²+4*21=100=10²y₁=(4-10)/2=-3y₂=(4+10)/2=7y₁=-3x²=-2*(-3)-3=3x₁=√3x₂=-√3y₂=7x²=-2*(7)-3=-17<0 нет решенийОтвет (√3; -3) (-√3; -3)д)у²+2у-3=02х=3-уу²+3у-у-3=0х=1,5-0,5у(у-1)(у+3)=0х=1,5-0,5уу₁=1х₁=1,5-0,5=1у₂=-3х₂=1,5-0,5*(-3)=3Ответ (1;1), (3; -3)е)у²=16х=25-у²у²-16=0х=25-16(у-4)(у+4)=0х=9у₁=4х=9у₂=-4х=9Ответ (9; 4), (9; -4)ж)у²-2у=0х=-4/уу(у-2)=0х=-4/уу₁=0х₁=∅ нет решенийу₂=2х=-4/2=-2Ответ (-2; 2)з)х²+2х-3=0у²=9-2х²х²+3х-(х+3)=0у²=9-2х²(х+3)(х-1)=0у²=9-2х²х₁=1                  х₂=-3у²=9-2=7           у²=9-2(-3)²=-9 <0у₁=√7                y=∅ нет решенийу²=-√7Ответ (1; √7), (1; -√7)
    • Автор:

      dillon15
    • 6 лет назад
    • 0
  • Добавить свой ответ

Войти через Google

или

Забыли пароль?

У меня нет аккаунта, я хочу Зарегистрироваться

How much to ban the user?
1 hour 1 day 100 years