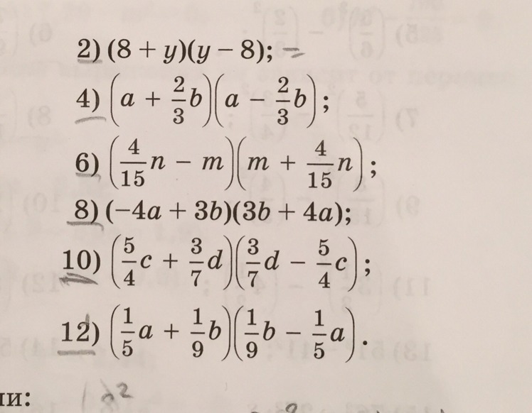
• Помогите выполнить задание алгебре.выполнить действие

    question img

Ответы 2

  • вот ответ. учи формулы сокращенного умножения
    answer img
    • Автор:

      saraizn7y
    • 6 лет назад
    • 0
  • Вот, пожалуйста. Всегда готов помочь.
    answer img
    • Автор:

      adón29
    • 6 лет назад
    • 0
  • Добавить свой ответ

Войти через Google

или

Забыли пароль?

У меня нет аккаунта, я хочу Зарегистрироваться

How much to ban the user?
1 hour 1 day 100 years