• Помогите пожалуйста
    Решите системы уравнений удобным способом:

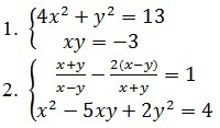
    question img

Ответы 1

  • 1y=-3/x4x²+9/x²=134x^4-13x²+9=0,x≠0x²=t4t²-13t+9=0D=169-144=25t1=(13-5)/8=1⇒x²=-1 U x=1⇒y=3 U y=-3t2=(13+5)/8=9/4⇒x²=9/4⇒x=-3/2 U x=3/2⇒y=2 U y=-2Ответ (-1;3);(1;-3);(-3/2;2);(3/2;-2)2(x+y)/(x-y)=tt-2/t=1t²-t-2=0t1+t2=1 U t1*t2=-2t1=-1 U t2=21)(x+y)/(x-y)=-1x+y=y-x2x=0x=0подставим во 20-0+2y²=42y²=4y²=2y=-√2 U y=√22)(x+y)/(x-y)=2x+y=2x-2yx=3y9y²-15y²+2y²=4-4y²=4y²=-1 нет решенияОтвет (0;-√2);(0;√2)
    • Автор:

      kole
    • 6 лет назад
    • 0
  • Добавить свой ответ

Войти через Google

или

Забыли пароль?

У меня нет аккаунта, я хочу Зарегистрироваться

How much to ban the user?
1 hour 1 day 100 years