• Уравнения-следствия
    Решите,пожалуйста,очень нужно!!!!!!!

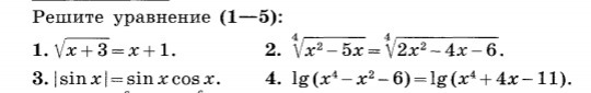
    question img

Ответы 1

  • Ответы 1 и 23 и 4 я не знаю
    answer img
  • Добавить свой ответ

Войти через Google

или

Забыли пароль?

У меня нет аккаунта, я хочу Зарегистрироваться

How much to ban the user?
1 hour 1 day 100 years