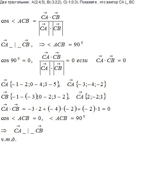
• Две треугольник : A(2;4;5), B(-3;2;2), C(-1;0;3). Покажите , что вектор CA |_ BC

Ответы 1

  • решение во вложении----------------
    answer img
  • Добавить свой ответ

Войти через Google

или

Забыли пароль?

У меня нет аккаунта, я хочу Зарегистрироваться

How much to ban the user?
1 hour 1 day 100 years