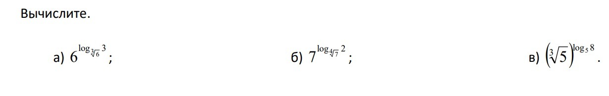
• Даю 50 баллов. Вычислите, с решением, логарифмы. Заранее спасибо!

    question img

Ответы 2

  • Ты лучшая) Спасибо.
  • Ответ ответ ответ ответ ответ
    answer img
    • Автор:

      leonie
    • 6 лет назад
    • 0
  • Добавить свой ответ

Войти через Google

или

Забыли пароль?

У меня нет аккаунта, я хочу Зарегистрироваться

How much to ban the user?
1 hour 1 day 100 years