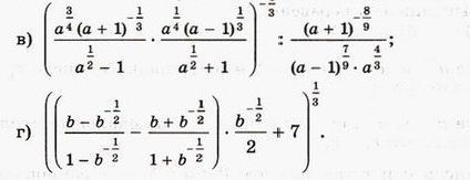
• Помогите упростить выражение (Степень с иррациональным показателем). Хотя бы под одной буквой.

    question img

Ответы 2

  • я уже ошибку нашла, в первом, забыла про степень
    • Автор:

      fifi
    • 6 лет назад
    • 0
  • окей, спасибо большое!
  • Добавить свой ответ

Войти через Google

или

Забыли пароль?

У меня нет аккаунта, я хочу Зарегистрироваться

How much to ban the user?
1 hour 1 day 100 years